NY Health Access About Us   |   Contact Us Empire Justice Center Legal Aid Society NYLAG WNYLC
Home Care
HRA Medicaid Alert 7/26/18 Special Income Standard for Housing Expenses when Discharged from Nursing Home to MLTC Download
2018-07-26 Medicaid Alert - Special Income Standard for Discharge from NH to MLTC.pdf
Update about the Special Income Standard for Housing Expenses for Individuals
Discharged from a Nursing Facility and who Enroll into the Managed Long Term Care Program - see article at http://www.wnylc.com/health/entry/212/
28 Aug, 2018 303 kb Downloads: 5110
Letter 8/21/18 from Guildnet CEO to Guildnet Employees announcing Guildnet will be closing 12/1/18 Download
Guildnet closing LT employees 2018-08-21.pdf
Letter from Alan Morse, CEO of Guildnet, dated 8/21/18 to Guildnet employees stating that Board decided the previous day to close Guildnet effective 12/1/18. States that the plan will be working closely with the State Dept. of Health on the transition of its members to other MLTC plans. Does not state that the Dept. of Health has approved the closure.
27 Aug, 2018 2.04 mb Downloads: 4360
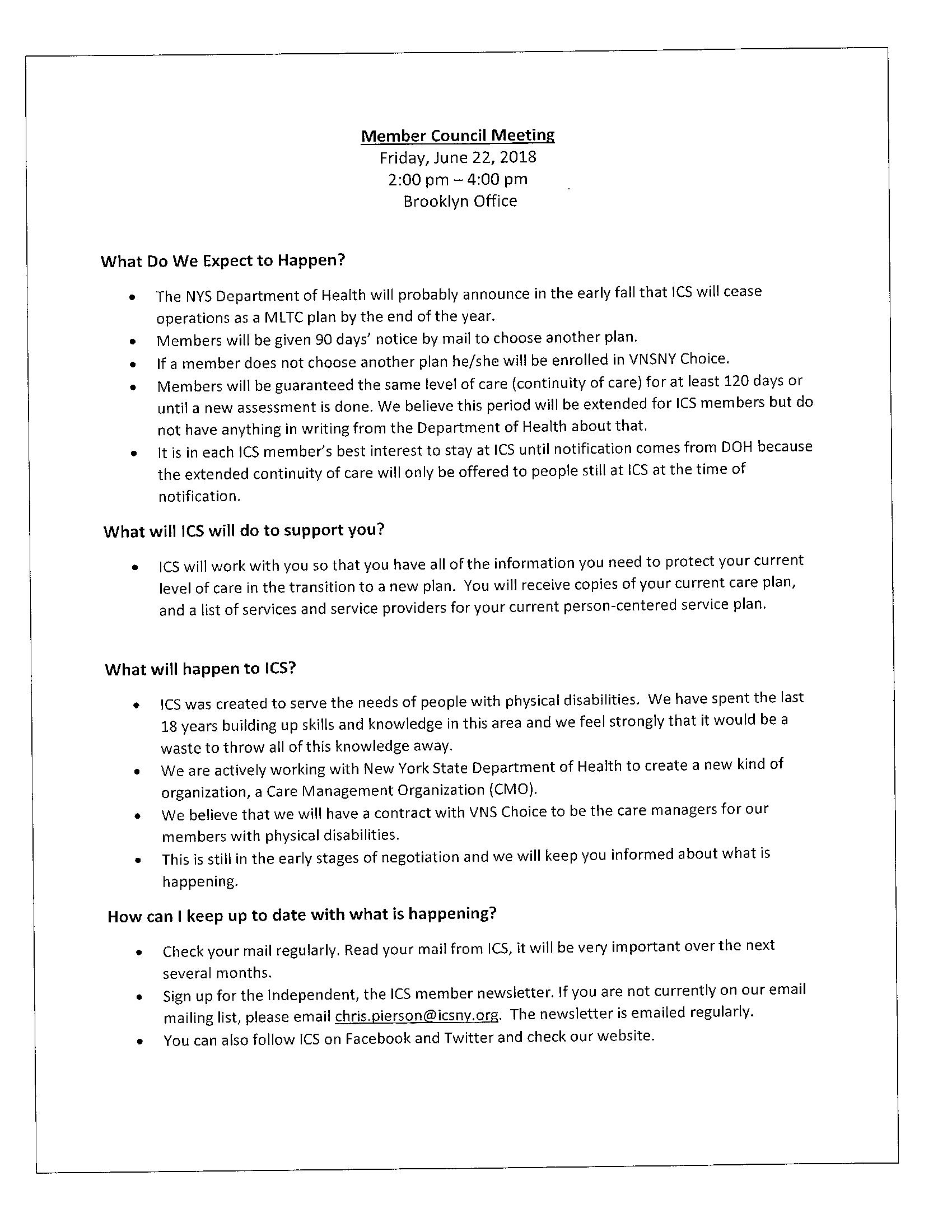
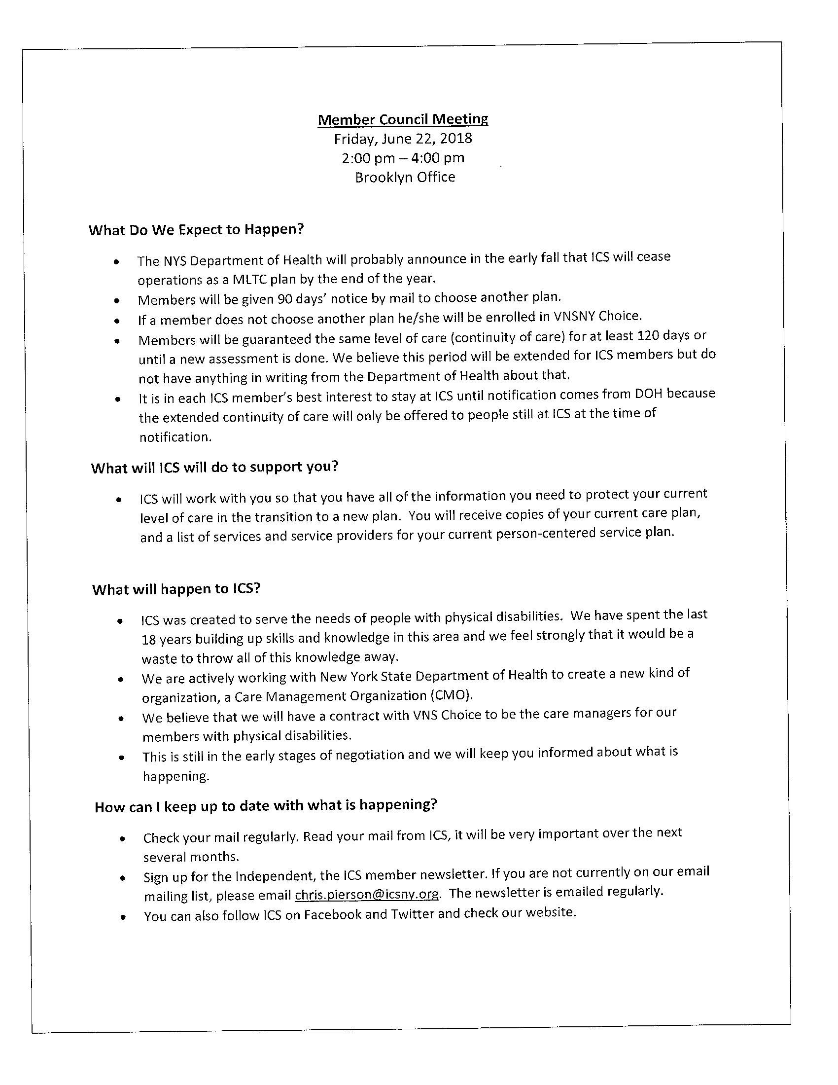
ICS Letter to Member Council, June 22, 2018 regarding possible plan closure Download
ICS LET-6-22.jpg
Memo dated June 22, 2018 to Member Council of Independence Care Systems stating that closure of ICS MLTC plan would likely be announced in early fall, 2018, and that members would receive 90 days notice to choose another plan, or they would be assigned to VNS Choice. The memo states, "Members will be guaranteed the same level of care (continuity of care) for at least 120 days or until a new assessment is done." The memo states, "It is in each ICS member's best interest to stay at ICS until notification comes from DOH because the extended continuity of care will only be offered to people at ICS at the time of notification."
09 Jul, 2018 377 kb Downloads: 3769
Fact Sheet on New Rules for Appealing Actions by Medicaid Managed Care and MLTC Plans - Starting May 1, 2018 Download
Exhaustion Fact Sheet - NYLAG 4-25-18.pdf
Fact Sheet on New Rules for Appealing Actions by Medicaid Managed Care and MLTC Plans - Starting May 1, 2018 - by NYLAG Evelyn Frank Legal Resources Program
25 Apr, 2018 295 kb Downloads: 7329
NYLAG Webinar on Exhaustion and MLTC Appeals - PowerPoint April 18, 2018 (amended 4/22/18) Download
NYLAG Exhaustion Webinar PowerPt FINAL amended.pdf
Compilation of regulations, sample notices, forms, advocacy documents, fact sheets, and online references for CLE Webinar conducted by NYLAG EFLRP on April 18, 2018 on the new Appeals REquirements for Medicaid Managed Care as Implemented in NYS Effective May 1, 2018 (amended slides 5 and 7 4/22/18)
22 Apr, 2018 610 kb Downloads: 7822
Form to Designate Representative to Request Managed Care/MLTC Appeal or Hearing (Rev. 4-16-18) Download
AUTHORIZATION – Medicaid Managed Care Requests (2018-04-16).pdf
Form designed by NYLAG EFLRP for a managed care or MLTC member to designate a family member, attorney or care manager, provider, and/or the ICAN Ombudsprogram to request a plan appeal, fair hearing, or a change in services from a managed care or MLTC plan. This new form is necessary because of changes starting in March 2018. At that time, one must first request an internal plan appeal before requesting a fair hearing. The request must be signed by the plan member unless a representative was previously designated. Signing this form in advance could prevent harmful delays in obtaining a client signature when requesting an appeal- especially if Aid Continuing is needed. See more at http://www.wnylc.com/health/news/80/
16 Apr, 2018 261 kb Downloads: 5739
NYS Dept. of Health Webinar Powerpoint about New Appeals Rules in Managed Care and MLTC that Start May 1, 2018 Download
Public Informational Webinar 42 CFR 438 Service Auth and Appeals March 2018.pdf
Powerpoint from a public webinar DOH held on Mar. 28 and 30, 2018. DOH has stated that the webinar and slides will be posted for viewing, but as of April 11, 2018 they are not yet posted. As a public service NYLAG is posting the slides from the presentation.
11 Apr, 2018 311 kb Downloads: 5059
NYLAG Webinar CLE Announcement on "Exhaustion" - New Managed Care Appeal System - April 18, 2018 Download
Exhaustion Webinar - CLE Registration Form.pdf
Changes in federal Medicaid regulations will take effect in New York State May 1, 2018. These changes affect over 4.7 million New Yorkers -- all members of Medicaid Managed Long Term Care (MLTC) Plans and “mainstream” Medicaid managed care plans. If the managed care or MLTC plan denies or reduces a service after May 1, 2018, the member will be required to request an internal “Plan Appeal” first, and wait for the plan’s decision, before they request a Fair Hearing with the NYS Office of Temporary & Disability Assistance. In other words, they are required to “exhaust” the internal plan appeal before requesting a fair hearing. See more info about the new rule here -- http://www.wnylc.com/health/entry/184/.

The CLE will explain the new rule and its limited exceptions, and the new appeal process. It will also cover the new requirements for the plan member to “authorize” a representative to request a plan appeal or a fair hearing.

WHO: The CLE is sponsored for lawyer, paralegals, and other professionals working or volunteering in the non-profit sector, including social workers who assist seniors and people with disabilities in accessing Medicaid services.

CLE: The New York Legal Assistance Group has been certified as an Accredited Provider of Continuing Legal Education. 1.5 Professional Practice credits and .5 Skills credits have been authorized for this session. This course is appropriate for both newly admitted and experienced attorneys. CLE credit will not be available for future viewing of the recorded webinar.

COST: Free for those working in or doing pro bono work for a non-profit legal services, advocacy, or social services organization. Private lawyers and geriatric care managers are asked for a suggested donation of $75 per session
27 Mar, 2018 260 kb Downloads: 3670
NYLAG Testimony on NYS FY 2018-19 Budget - Joint Hearing of the Senate Finance and Assembly Ways and Means Committees Download
NYLAG Health statement JOINT HEARING 2-7-18 FINAL.pdf
NYLAG Testimony on NYS FY 2018-19 Budget - Joint Hearing of the Senate Finance and Assembly Ways and Means Committees - discusses spousal refusal and spousal impoverishment proposals, Managed long term care changes, and other proposals in NYS proposed budget.
09 Feb, 2018 541 kb Downloads: 3656
NYS DOH Model Managed Care/MLTC PLAN APPEAL DECISION Reducing Services - Effective March 1, 2018 Download
Final FAD With AC 11-20-17.pdf
The "Final Adverse Determination" template that NYS DOH has provided to Medicaid managed care and MLTC plans for Plan Internal Appeal Decisions affirming a proposed reduction of services. This notice must be used after March 1, 2018, when embers must first request an internal appeal and wait until that is decided before they may request a fair hearing. See more here http://www.wnylc.com/health/news/80/. This "Final Adverse Determination" will advise the member of the right to request a fair hearing with aid continuing.
26 Dec, 2017 679 kb Downloads: 4706
Prev Next


This site provides general information only. This is not legal advice. You can only obtain legal advice from a lawyer. In addition, your use of this site does not create an attorney-client relationship. To contact a lawyer, visit http://lawhelpny.org. We make every effort to keep these materials and links up-to-date and in accordance with New York City, New York state and federal law. However, we do not guarantee the accuracy of this information. To report a dead link or other website-related problem, please e-mail us.